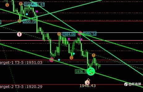
#XAU/USD# 9月5日 昨日因美国劳动节,市场提前休市整体交投清淡,提示大家在最高点1946附近参与的空单回落到1934附近,我们成功收获约12个点,选择大于努力,恭喜大家...
黄金在本月非农日冲高触及1952-1953一线后已连续走低收阴,并且价格目前已经击穿日线攻击均线大有向防守均线1930-1927一线靠近的趋势,短线指标动能缩量有形成量价趋势,近期价格突破防守均线上的支撑,那么惯性下挫的行情将会上演,届时关注1920-1915。若价格迟迟无法上演破位行情,那么就是持续性的高位震荡,上方关注近期顶底转换上1950-1965一线的压力。
交易上持有的1952/1948等位置空以及昨日1946附近空依旧是耐心持有不变!今日见1941/1944附近空,止损7美金,暂看1930-1920!原油注意在86.1/86.4附近空一次,止损0.8个点,暂看84.8-83.5!以上仅供参考,及时行情及时指导
Disclaimer: The views expressed are solely those of the author and do not represent the official position of Followme. Followme does not take responsibility for the accuracy, completeness, or reliability of the information provided and is not liable for any actions taken based on the content, unless explicitly stated in writing.


Leave Your Message Now