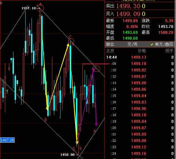
黄金日内跌幅已达20美金,不要觉得这里就有拐头向上可能,有多单在手的小幅反弹可以出了,看日线AB=CD走出了,ab=c-d正在走出来!有空单的大胆的持有仓位大的就减仓了止损带保本!$XAG/USD$ $WTI$ $AUD/USD$
Disclaimer: The views expressed are solely those of the author and do not represent the official position of Followme. Followme does not take responsibility for the accuracy, completeness, or reliability of the information provided and is not liable for any actions taken based on the content, unless explicitly stated in writing.

Leave Your Message Now